mirror of
https://github.com/Smaug123/KaTeX
synced 2025-10-14 23:38:40 +00:00
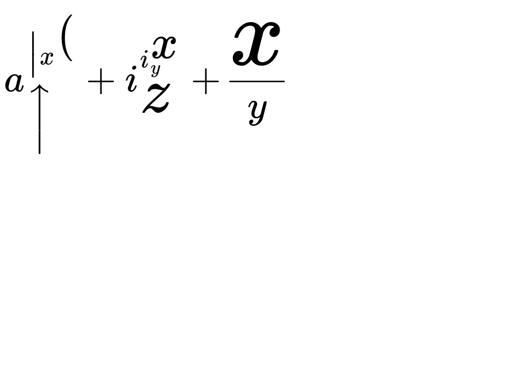
Summary: Plain TeX assigns `\scriptspace=0.5pt`, which is used in Rules 18bcd in the TeXbook's Appendix G. Test Plan: - Look at `x^{x^{x_{x_{x_{x_x}}}}}\biggr|`, see a gap that looks similar to the one produced by real TeX. - Look at the huxley tests, see that they look reasonable. Make sure that all changes to other huxley tests are now correct, and only changed because of this. Reviewers: emily Reviewed By: emily Subscribers: jessie Differential Revision: http://phabricator.khanacademy.org/D12763
26 KiB
1024x768px
26 KiB
1024x768px
