mirror of
https://github.com/Smaug123/KaTeX
synced 2025-10-20 01:58:41 +00:00
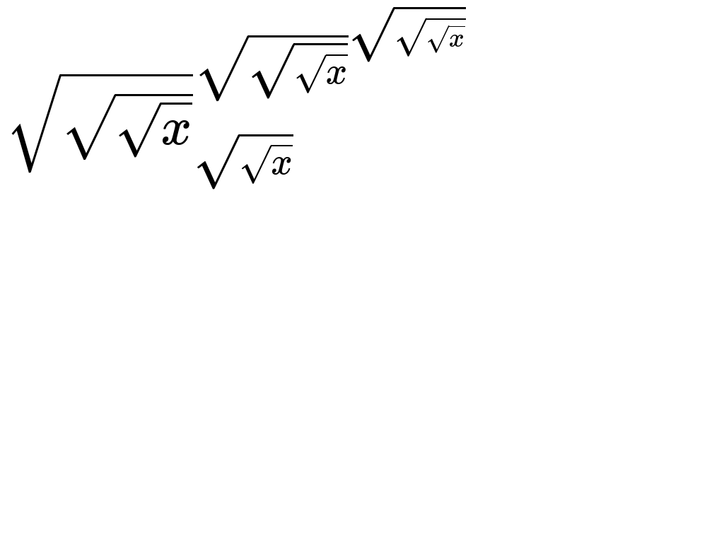
* Improve rule coding.
* Rule widths (overline, underline, fraction, sqrt) actually scale
with the current font size in AMS-TeX. Implement that. (Sqrt is
a special case: the rule width depends on the font size *of the
surd*.)
* Change the CSS coding for rules. The old, complex coding prevented
variable-width lines and may have contributed to issues like #696.
Its purpose, according to 0a3a2271f4
,
was IE8 support; but KaTeX no longer supports IE8.
* The 0.5px offset makes larger sizes better, smaller sizes worse.
Smaller sizes seem more important.
* Cleanup (intended to be squashed).
13 KiB
1024x768px
13 KiB
1024x768px
