mirror of
https://github.com/Smaug123/KaTeX
synced 2025-10-20 01:58:41 +00:00
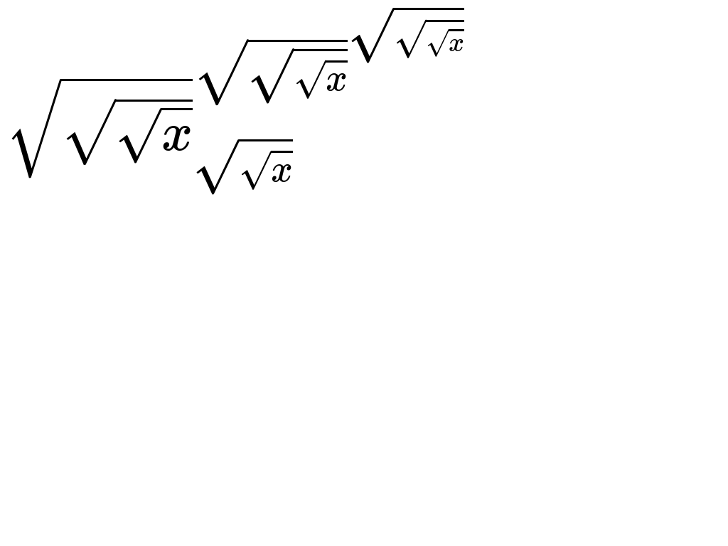
* Fix interaction between styles and sizes by implementing styles as sizes. Rather than having both `textstyle` CSS classes and `size5` CSS classes affect the font size (and step on each other), implement sizes more the way TeX does: a command like `\displaystyle` changes the current size. This is actually a simplification, since now only `size` affects the size. Simplifies CSS and computation. Many screenshotter tests change; they change to be more like TeX. For instance, `\sqrt` fixes some discrepancies in size treatment. Also: Remove the `Options.withX()` methods in favor of `.havingX()`, which might return the same `options`. Remove `Style.cls()` and `Style.reset()`. Remove `Options.reset()`. You should never modify an `Options`; they should change only by the `havingX()` methods. * Implement TeX sizing for scriptsize/scriptscriptsize. At every size level. Also make the sizes match TeX to the last decimal. * Review comments.
13 KiB
1024x768px
13 KiB
1024x768px
