Files
KaTeX/test/screenshotter/images/Accents-firefox.png
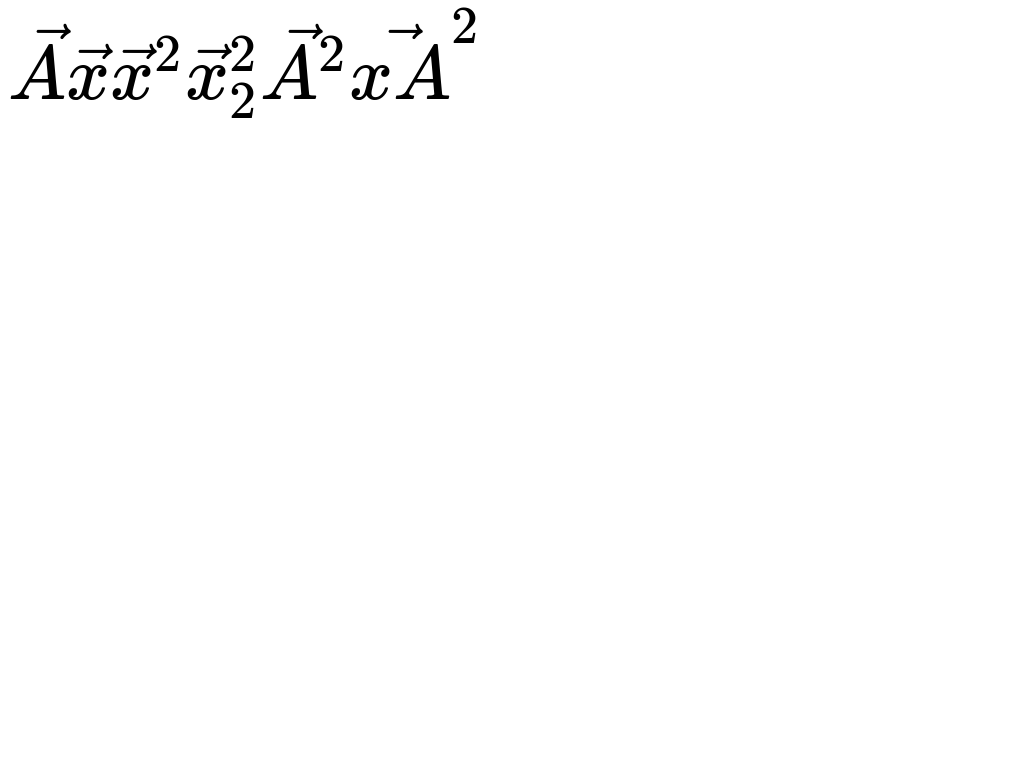
Eddie Kohler 3af23fd8a4 Fix #711 issue with multiple superscripts.
The previous code incorrectly implemented TeXbook rules. First off,
the font metrics at issue should be those for the superscript/
subscript style, not the main style. Secondly, the metrics should be
scaled by the font size.

This changes some screenshotter tests (and they look more like TeX
now).
2017-06-05 23:52:16 -04:00

6.2 KiB
1024x768px

/patrick/KaTeX/raw/commit/d93a958379bc9f02ece3469eb4748895f1fcb500/test/screenshotter/images/Accents-firefox.png