Files
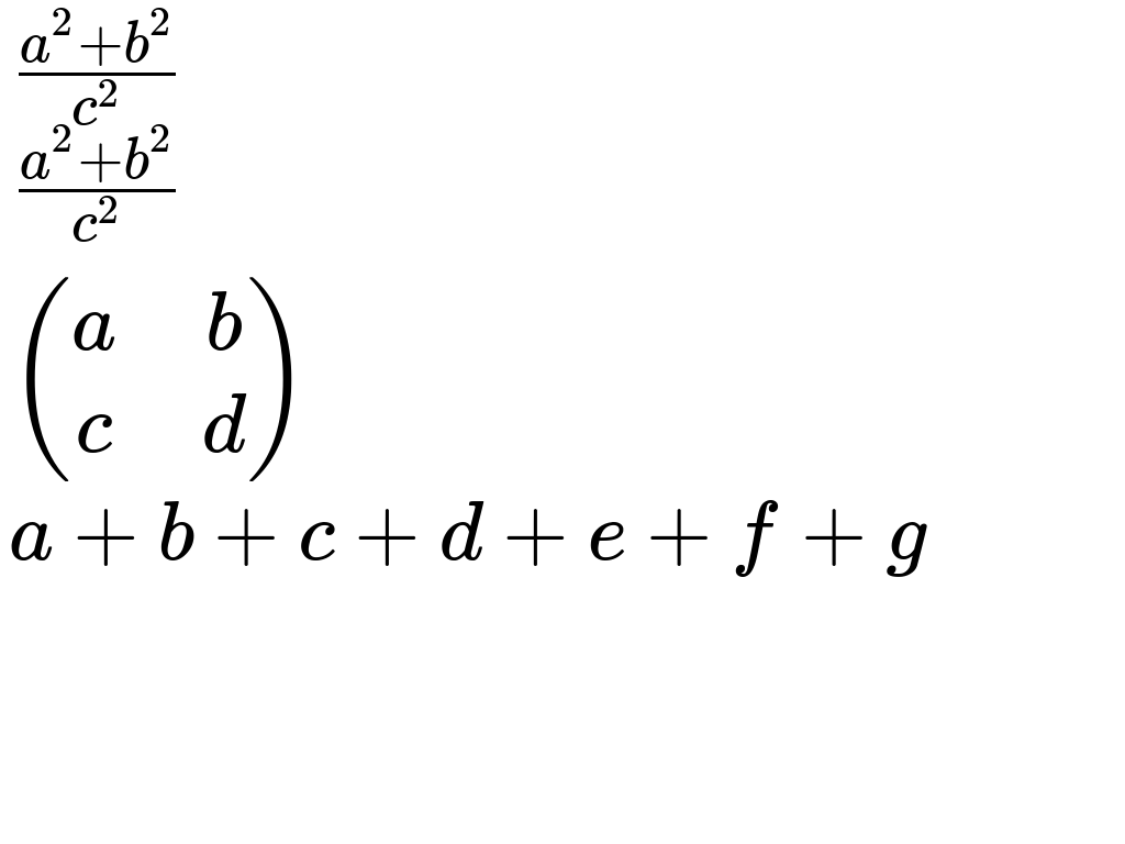
KaTeX/test/screenshotter/images/NewLine-chrome.png
Erik Demaine 4801ab875a Support for top-level \newline and \\ in inline math (#1298)
* Support for top-level \newline and \\ in inline math

This was a little tricky because `\\` was defined as an endOfExpression.
Instead made `\\` a termination specific to an array environment.
Outside an array environment, buildHTML handles the `cr` object,
resulting in a `.newline` class.  Currently this turns into a
`display: block` (with appropriate vertical spacing) only in inline math,
matching LaTeX.

* Simplify code

* Fix Jest errors

* NewLine screenshot test

* Bug fix: \\ only works at top level of inline

* Add \newline and \cr to test

* Switch test to pmatrix

* Add vertical space test

* Add \\ vs. \newline tests

* Fix flow errors

* Add \cr test

* Add documentation for \\ at top level

* Comment out newRow

* Fix commenting out
2018-05-13 09:58:24 -04:00

18 KiB
1024x768px

/patrick/KaTeX/raw/commit/d6e857594299ea7a6721ee60f4761375d2d370df/test/screenshotter/images/NewLine-chrome.png