Files
KaTeX/test/screenshotter/images/DashesAndQuotes-firefox.png
Martin von Gagern 4a9c2acbf7 Add some more symbols (#502)
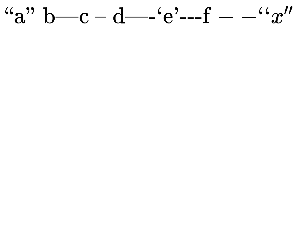
This adds support for the following input sequences:

    -- --- ` ' `` '' \degree \pounds \maltese

resulting in – — ‘ ’ “ ” ° £ ✠ symbols already present in our fonts.

As part of this modification, the recognition of multiple dashes was moved
from the lexer to the parser.
This is neccessary since in math mode a sequence of hyphens is just a
sequence of minus signs.  Just like a pair of apostrophes in math mode is a
double prime not a right double quotation mark.
To make this easier, parseGroup and parseOptionalGroup have been merged.
2016-07-24 19:56:31 -07:00

8.0 KiB
1024x768px

/patrick/KaTeX/raw/commit/c951df4269eb0b72826f803b218e6fa7c19c78e5/test/screenshotter/images/DashesAndQuotes-firefox.png