mirror of
https://github.com/Smaug123/KaTeX
synced 2025-10-14 23:38:40 +00:00
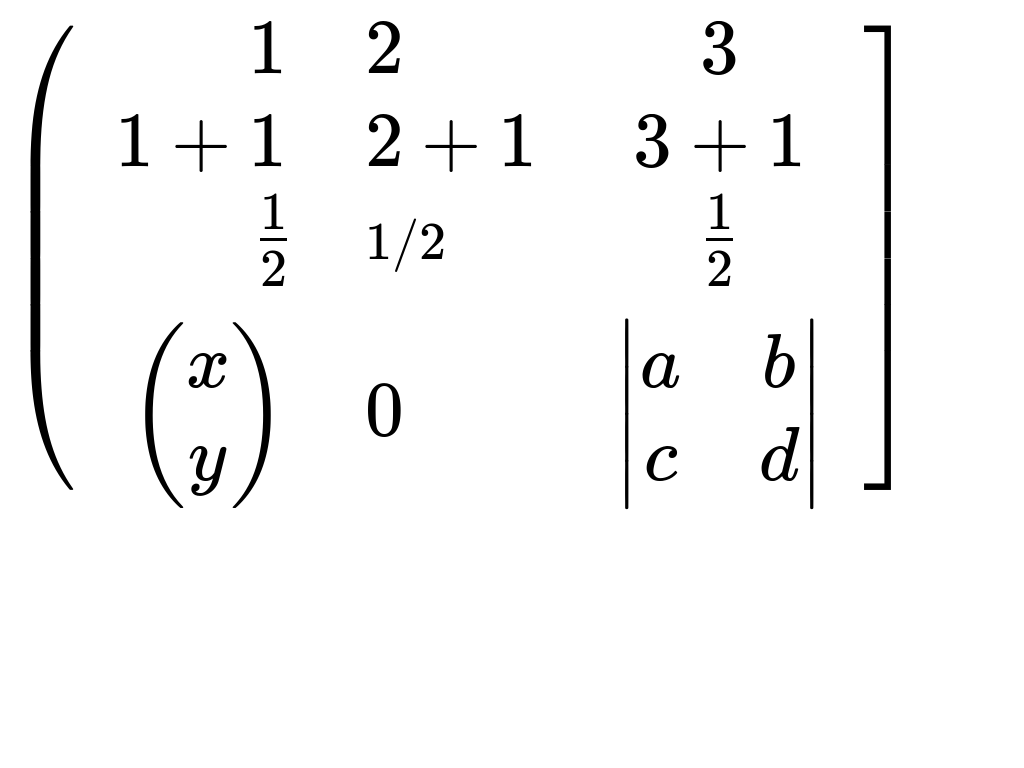
This commit introduces environments, and implements the parser infrastructure to handle them, even including arguments after the “\begin{name}” construct. It also offers a way to turn array-like data structures, i.e. delimited by “&” and “\\”, into nested arrays of groups. Environments are essentially functions which call back to the parser to parse their body. It is their responsibility to stop at the next “\end”, while the parser takes care of verifing that the names match between “\begin” and “\end”. The environment has to return a ParseResult, to provide the position that goes with the resulting node. One application of this is the “array” environment. So far, it supports column alignment, but no column separators, and no multi-column shorthands using “*{…}”. Building on the same infrastructure, there are “matrix”, “pmatrix”, “bmatrix”, “vmatrix” and “Vmatrix” environments. Internally these are just “\left..\right” wrapped around an array with no margins at its ends. Spacing for arrays and matrices was derived from the LaTeX sources, and comments indicate the appropriate references. Now we have hard-wired breaks in parseExpression, to always break on “}”, “\end”, “\right”, “&”, “\\” and “\cr”. This means that these symbols are never PART of an expression, at least not without some nesting. They may follow AFTER an expression, and the caller of parseExpression should be expecting them. The implicit groups for sizing or styling don't care what ended the expression, which is all right for them. We still have support for breakOnToken, but now it is only used for “]” since that MAY be used to terminate an optional argument, but otherwise it's an ordinary symbol.
39 KiB
1024x768px
39 KiB
1024x768px
