Files
KaTeX/test/screenshotter/images/StrikeThrough-firefox.png
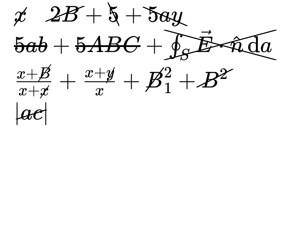
Ron Kok 563b0d5f8f Improve \cancel (#1398)
* Fix \cancel

Fixes #1080.

Improve `\cancel` in three ways:

1. Better lateral spacing.
2. Steeper `\cancel` lines on single characters.
3. Treat height and depth to match the `cancel` package behavior, not its documentation.

* Update screenshots
2018-06-03 17:38:49 -04:00

25 KiB
1024x768px

/patrick/KaTeX/raw/commit/b1eeeecf91af2dcdbd36645e460c74a3b5f074a2/test/screenshotter/images/StrikeThrough-firefox.png