Files
KaTeX/test/screenshotter/images/Accents-firefox.png
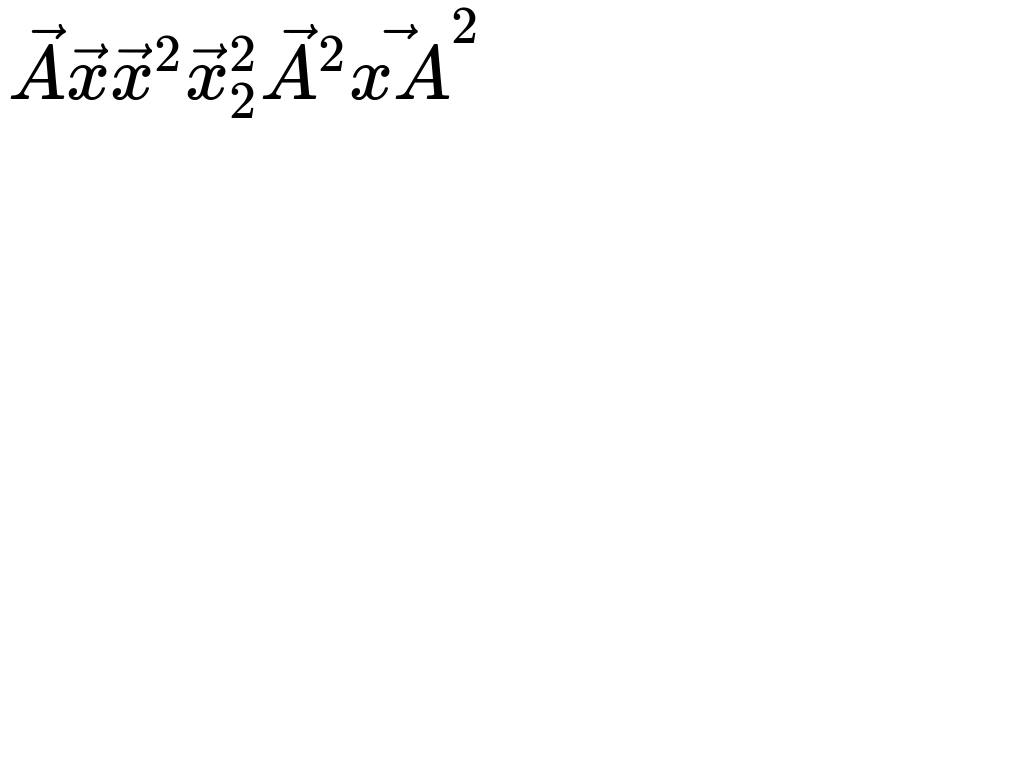
Erik Demaine d6791b7961 Make accents zero width (#1033)
* Make accents zero width

Make the width of an accented character equal to the width of the character,
by making accents zero width.  In particular, fixes #1028 (`\ddot\imath`).

This involved reworking all of the accent offset machinery, in particular
skew and accent-hungarian.  A bit cleaner now.

Also added support for the new width character metrics in symbolNode.

* Update AccentsText test

* Fix comment
2017-12-25 11:48:32 -07:00

6.5 KiB
1024x768px

/patrick/KaTeX/raw/commit/b148d5da71363278b771661ffd4c399498863aed/test/screenshotter/images/Accents-firefox.png