mirror of
https://github.com/Smaug123/KaTeX
synced 2025-10-21 10:28:40 +00:00
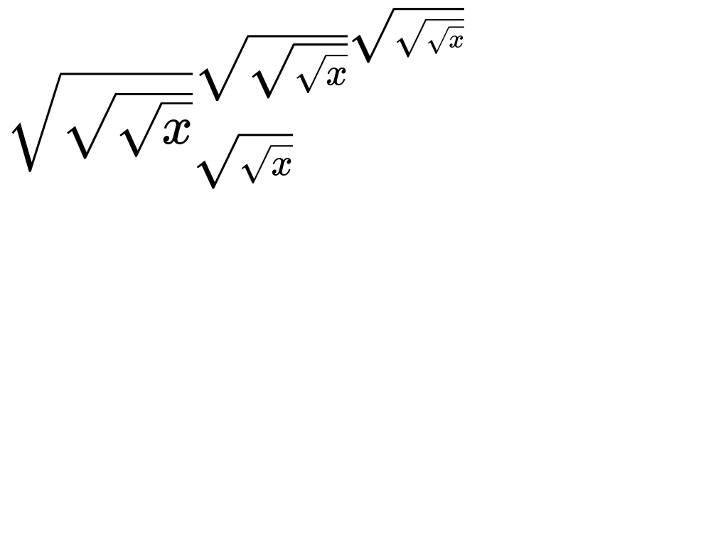
* Improve \sqrt Make \sqrt out of inline SVGs to ensure a perfect match at the junction between surd and viniculum. * Tweak for kern clarity * Fix lint error * regenerate screenshot tests with sqrts * Correct advance Edit the SVG paths so that they have the correct left bearing and advance width values. This will correct the spacing on the left side of each surd and it will also improve the placment of a root indice. * Revise scriptstyle surds In the `main` size, delimiters *do* scale with scriptstyle and scriptscriptstyle. * update screenshot images containing sqrts
13 KiB
1024x768px
13 KiB
1024x768px
