mirror of
https://github.com/Smaug123/KaTeX
synced 2025-10-05 11:18:39 +00:00
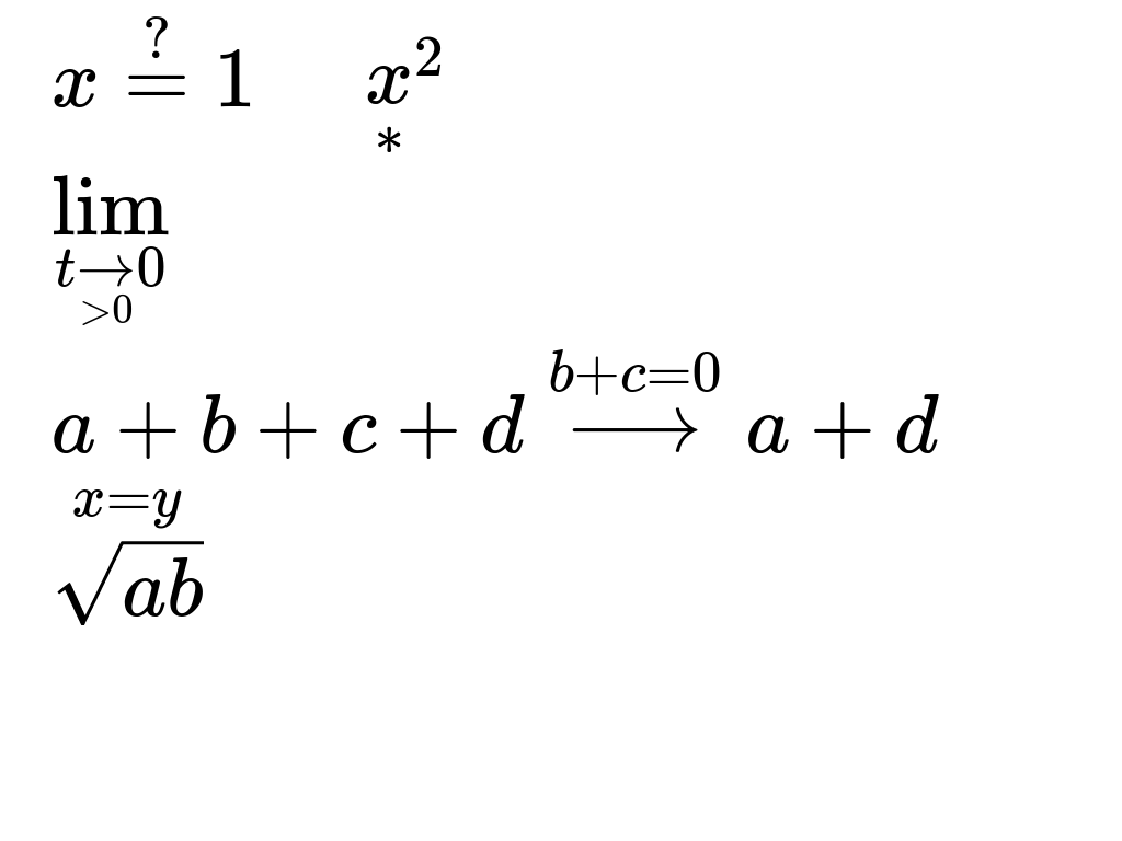
* Fix \underset This PR modifies `\underset` and `\overset` to align with LaTeX behavior when a superscript is applied after the `\underset`. Fixes issue #1275. I also changed the spacing from KaTeX `mop` to KaTeX `rmel`. The result seems to be a closer visual match to LaTeX. * Update screenshots
17 KiB
1024x768px
17 KiB
1024x768px
