Files
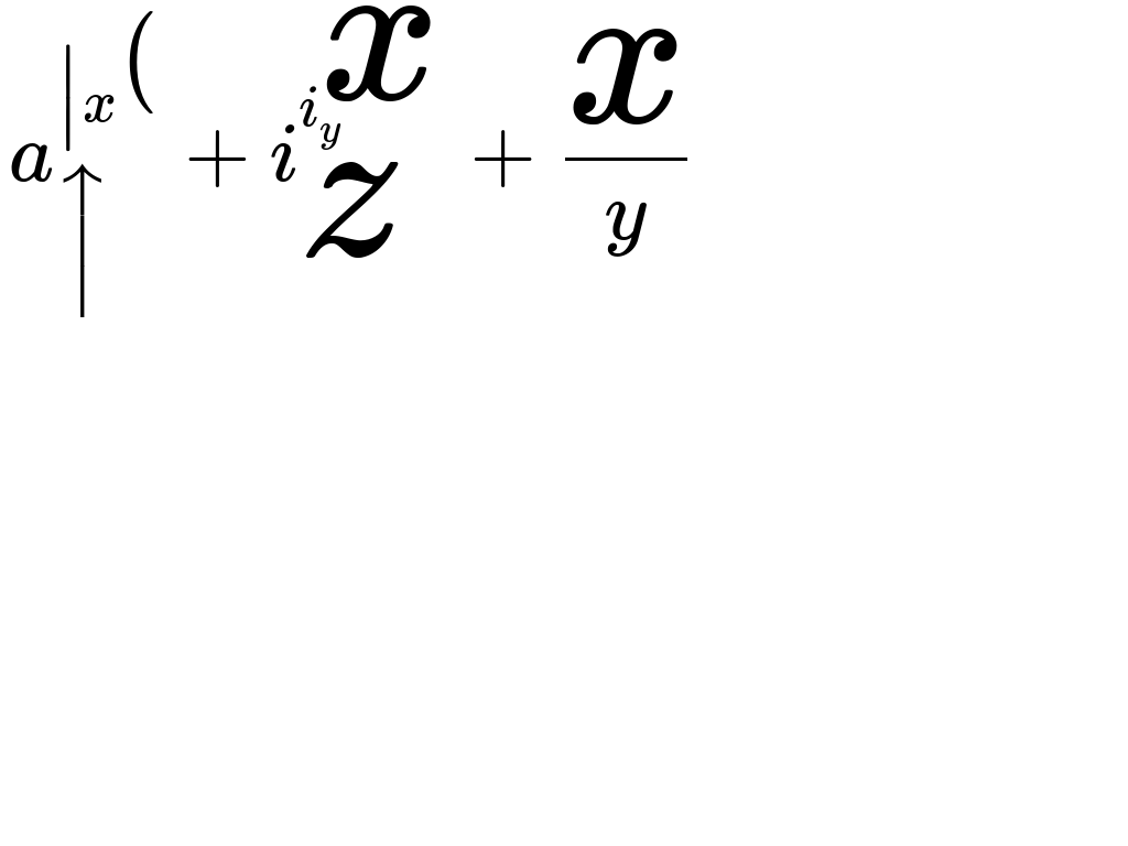
KaTeX/test/screenshotter/images/DeepFontSizing-chrome.png
Erik Demaine 523df299e5 Line breaks for inline formulas (#1287)
* Line breaks for inline formulas

* Basic support for \allowbreak and \nobreak

* Fix spacing around \nobreak, and add documentation

* Backwards-compatibility _getBuilt to fix tests

* Put operator spacing on same line as operator

* One approach to ~

* Simplify \allowbreak/\nobreak, make ~/\nobreakspace prevent line breaks

* Adapt to #1295

* Prevent wrapping within a .base

* Implement \hspace* properly

* Fix flow error

* Update comment for regularSpace

* Update screenshots

* Move `width: min-content` from .katex into .base

* Fix screenshot

* Add min-width rule to .vlist-s

* Factor out hasClass method

* Cleanup nobreak test

* Pull out buildHTMLUnbreakable

* Fix \hspace* test (no longer the same as \hspace)

* Fix \nobreak handling

* Add screenshot test
2018-05-11 01:44:26 +02:00

13 KiB
1024x768px

/patrick/KaTeX/raw/commit/65569249be316362d2d8fca24b582dd003885c8a/test/screenshotter/images/DeepFontSizing-chrome.png