mirror of
https://github.com/Smaug123/KaTeX
synced 2025-10-19 09:38:40 +00:00
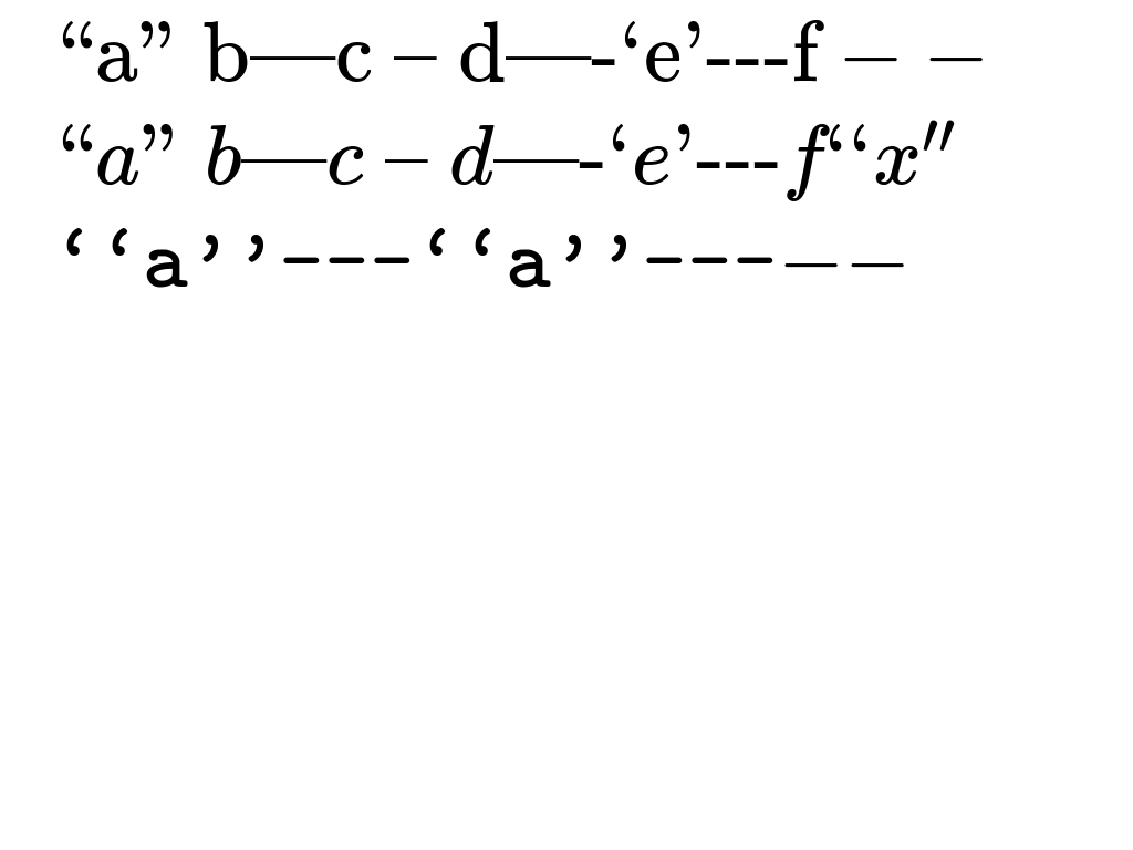
* Fix ligatures not always triggering Example: \text{\rm --} would not cause ligature but should * Remove ligatures in \texttt mode * Add screenshot tests * Fix MathML ligatures * Fix type * Handle \text... fonts in MathML building * Remove leftover console deubgging
14 KiB
1024x768px
14 KiB
1024x768px
