Files
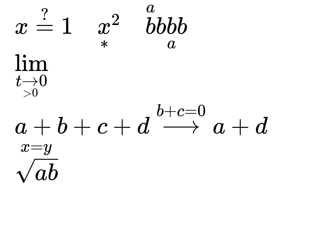
KaTeX/test/screenshotter/images/OverUnderset-chrome.png
Ron Kok 7b7b532fb6 Adjust \underset alignment and spacing (#1290)
* Support Unicode \ll and \lll

Fixes issue #1271

* Adjust \underset alignment and spacing

Fixes issue #1288.

1.  Fixes vertical alignment by keeping the base element on the baseline.
2. Assigns horizontal spacing to \underset in a manner that aligns with LaTeX `\binrel`

* Fix flow error

* Add comment

* Allow for shift of mathops

* Update screenshots

* Test for nested ordgroups

* Set \stackrel spacing class to mrel

* Fix lint error

* Better determination of atom type

* Add comment.

* Add `suppressBaseShift` to ParseNodeTypes
2018-05-10 13:13:37 +09:00

20 KiB
1024x768px

/patrick/KaTeX/raw/commit/523df299e58b8c43f230ccd103be19cf5eb34de1/test/screenshotter/images/OverUnderset-chrome.png