mirror of
https://github.com/Smaug123/KaTeX
synced 2025-10-18 17:28:38 +00:00
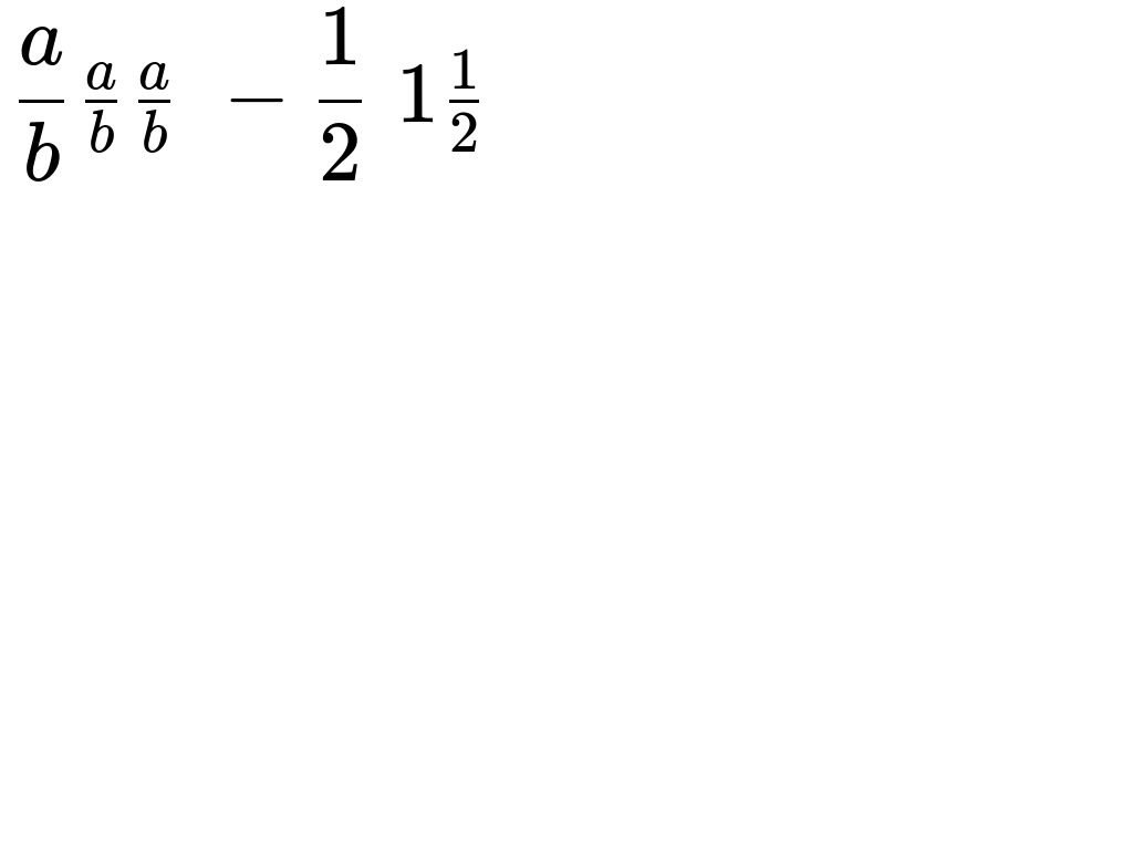
A fraction is surrounded by a box of width \nulldelimiterspace on either side. That size is 1.2pt and does not scale with the style or font size. Furthermore, a \frac creates a brace-enclosed group which results in a \mathord, not a \mathinner.
14 KiB
1024x768px
14 KiB
1024x768px
