mirror of
https://github.com/Smaug123/KaTeX
synced 2025-10-05 03:08:40 +00:00
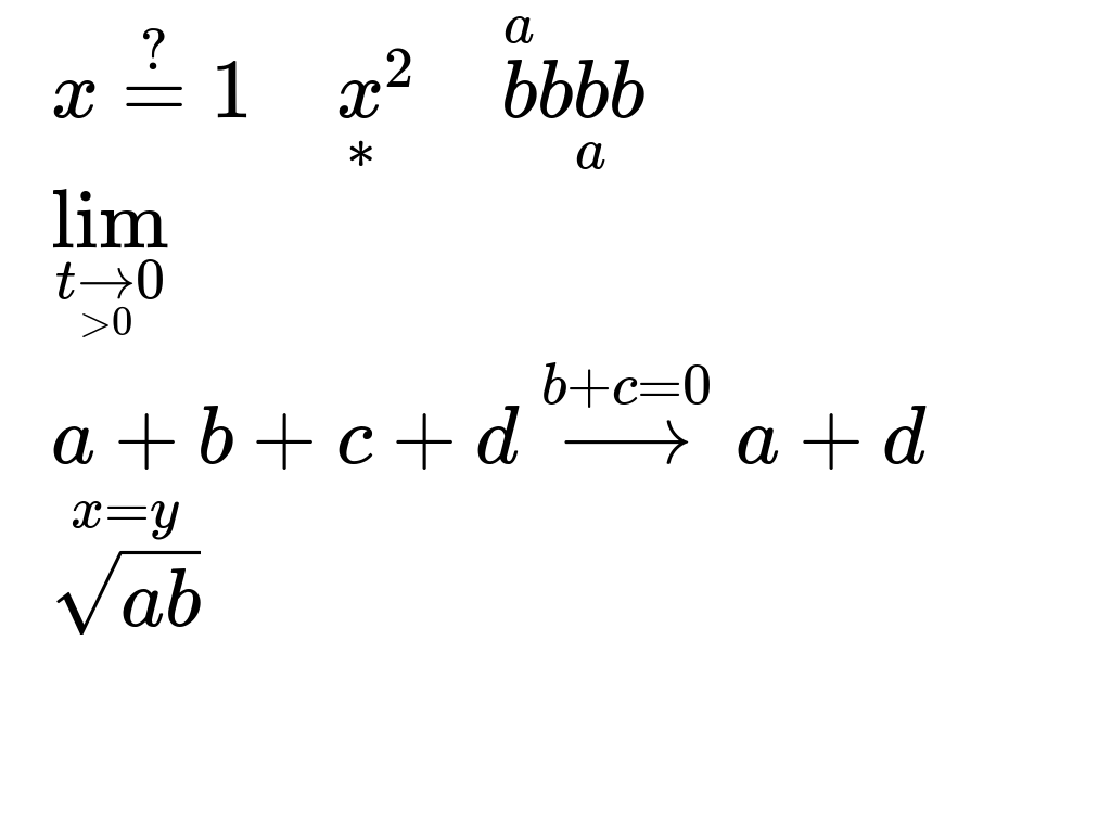
* Support Unicode \ll and \lll Fixes issue #1271 * Adjust \underset alignment and spacing Fixes issue #1288. 1. Fixes vertical alignment by keeping the base element on the baseline. 2. Assigns horizontal spacing to \underset in a manner that aligns with LaTeX `\binrel` * Fix flow error * Add comment * Allow for shift of mathops * Update screenshots * Test for nested ordgroups * Set \stackrel spacing class to mrel * Fix lint error * Better determination of atom type * Add comment. * Add `suppressBaseShift` to ParseNodeTypes
18 KiB
1024x768px
18 KiB
1024x768px
