mirror of
https://github.com/Smaug123/KaTeX
synced 2025-10-05 19:28:39 +00:00
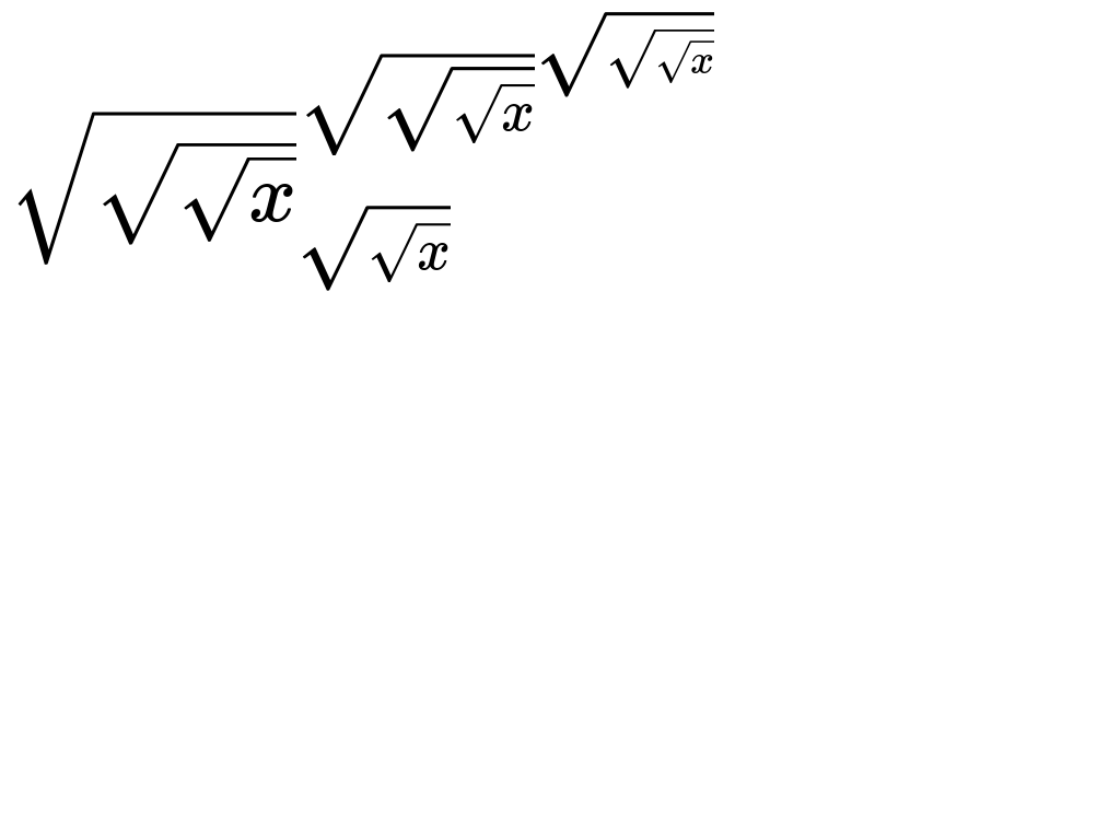
* Fix \sqrt zoom in Safari This PR evades a Safari bug which causes nested SVGs to zoom improperly. `\sqrt` and single-ended arrow SVGs have been modified. These have been converted from nested SVGs to single level. Their long tails are now sliced off using CSS `overflow: hidden`. Safari will still improperly zoom any double-ended stretchy arrows and horizontal braces. * Fix \sqrt{} Even if the function argument is empty, still render an SVG whose width equals the surd glyph. * Fix tall \sqrt when scaled * update screenshots affected by sqrt fixes * more screenshots after changes to fix sqrt * Pick up review comments
13 KiB
1024x768px
13 KiB
1024x768px
