Files
KaTeX/test/screenshotter/images/BinCancellation-firefox.png
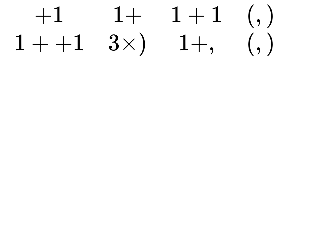
Eddie Kohler dc79b91dbf Mark delimiters with the proper class (mopen or mclose).
This fixes some atom spacing issues. Update the BinCancellation
screenshotter test.
2016-12-05 15:48:04 -05:00

8.9 KiB
1024x768px

/patrick/KaTeX/raw/commit/06e0393abc398b18228d19a9797695d1ef00d966/test/screenshotter/images/BinCancellation-firefox.png